MEDIDAS DE TENDENCIA CENTRAL
PARA DATOS AGRUPADOS
Recuerda que los datos se agrupan cuando estos corresponden a una Población muy grande. Se consideran Poblaciones grandes las que se describen en los siguientes casos
1.-Los artículos producidos en una empresa grande, como por ejemplo, los miles de tornillos producidos de 4 cm. de largo.
2.-Alguno de los componentes de una computadora, del cual se producen millones en un solo día.
3.-Cierto tipo de conector de plástico empleado en los transfusores de sangre, de los cuales se producen miles en un solo día.
4.-Alguna de las partes de la cubierta de algunas televisiones LED, de las que se hacen también cientos en un solo día.
5.-Los millones de tuercas que se generan, las que como todo articulo, debe cumplir con ciertas especificaciones establecidas en los estándares de calidad empleados por la empresa.
6.-Los datos derivados por las encuestas que se aplican durante el Censo Poblacional.
En todos estos casos, es necesario extraer muestras representativas de tamaño moderado para efectuar el análisis de la Población. Los datos, que la mayoría de las veces corresponden a variables numéricas se agrupan y se ordenan en lo que ya conocemos como Tabla de Distribución de Frecuencia(TDF).
Para estos datos ordenados, es necesario efectuar los cálculos de las diferentes Medidas de Tendencia Central con la finalidad de que a través de un análisis de sus valores, podamos llegar a conocer el comportamiento de los mismos, así como también hacer diversas inferencias que serian valiosas para el proceso del cual procede la población referida.
El calculo de de las Medidas de Tendencia Central para datos agrupados es ligeramente distinto a aquellas que corresponden a los datos individuales.
No esta de mas indicar que los significados de estos parámetros estadísticos dados en secciones anteriores, no cambian.
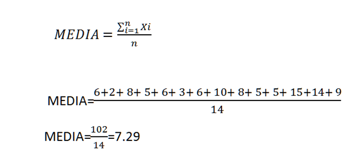
MEDIA
La formula para calcular la Media Aritmética(media muestral) es
MEDIANA
Recuerde que para el calculo del valor de la Mediana es necesario primero calcular el valor de la Posicion. Este ultimo valor me indicara la clase o intervalo en el que se ubica la Mediana.
La formula para la posición de la Mediana
MD=Mediana
LRIMD=Limite Real Inferior de la clase donde esta la Mediana
N=Numero total de datos
Facum-1=Frecuencia acumulada anterior a la clase donde esta la mediana
AC=Ancho de Clase
MODA
Para tomar los datos necesarios en la formula que se exhibe enseguida, se toma como referencia la clase que tenga el mayor valor de Frecuencia Absoluta.
Para encontrar el valor de la Moda, se aplica la la formula:
en donde
MO=Valor de la Moda
Fabs=frecuencia absoluta de la clase donde cae la Moda
Fabs-1=frecuencia absoluta de la clase anterior a donde cae la Moda
Fabs+1=frecuencia absoluta de la clase posterior a la que contiene la Moda
EJERCICIOS RESUELTOS
Calcule la Media, la Mediana, la Moda, el Q2, D5 y el P50. para la Tabla de Frecuencias que se da
CALCULO DE LA MEDIA
Note que para calcular la Media es necesario lograr los productos de cada una de las Marcas de Clase con las Frecuencias Absolutas(MCi*Fabs) de cada una de las clases en la TDF.
Para esto, es conveniente incluir una nueva columna en la TDF, en la que se incluyan estos productos. Aquí se muestra la Tabla
La formula para calcular la Media es
CALCULO DE LA MEDIANA
Para efecto de calcular la Mediana, teniendo los datos ya ordenados en la TDF, determinamos primero el valor de su Posición. A saber
Para saber la ubicación de la Mediana en la TDF, el valor 47.5 obtenido, se busca en la columna de las Frecuencias Acumuladas, es necesario por ello, incluir en la Tabla de Frecuencias que estamos empleando esta columna. La TDF quedaría así
En la columna de la Frecuencia acumulada tenemos un numero de datos que van de 0 a 2, en la primera clase. En la segunda clase tendremos una cantidad de datos que van de 3 a 3, en la tercera clase tendremos de 4 a 11, en la cuarta clase de 12 a 37, en la clase 5 tendremos de 38 a 58. En esta ultima clase esta contenido el 47,5 logrado en el calculo de la Posición de la Mediana.
Otra forma de determinar la clase en la que esta incluido el 47.5, es buscando el valor próximo superior a esta cantidad en la columna de las Frecuencias acumuladas. Note que el valor mayor a 47.5 es el numero 58. Este ultimo valor corresponde a la clase 5.
Entonces, para calcular el valor de la Mediana, tomaremos como referencia la clase 5, para sustituir los datos que indica su respectiva formula.
DATOS
LRIMD=Limite Real Inferior de la Clase de la Mediana=49.5
N=Suma de las Frecuencias Absolutas=94
Facum-1=Frecuencia Acumulada Anterior a la de la Clase de la mediana=37
FabsMD=Frecuencia Absoluta de la Clase de la Mediana=21
AC=Ancho de Clase=8
Recuerde que el AC se calcula como la diferencia entre el Limite Superior y Limite Inferior.
Enseguida se muestra el procedimiento
La formula que da el valor de la Mediana es
Una forma de verificar que el calculo lo hemos realizado debidamente, es comprobar que el valor obtenido para la Mediana, este dentro del intervalo de la clase 5, esto es, entre 49.5 y 57.5. Observamos que, efectivamente, 53.5 si pertenece a este intervalo.
CALCULO DE LA MODA
Para calcular la Moda debemos saber que esta se ubica en la clase que contenga la mayor Frecuencia Absoluta.
La clase 4 tiene una Frecuencia Absoluta de 26, la cual es la mayor. Esto indica que la Moda se encuentra en esta clase. Por ello, la clase 4 es la que tomaremos como referencia para escoger los datos que requiere la formula que nos permitirá calcular su valor. Veamos la forma de realizar el calculo
DATOS
LRIMO=Limite Real Inferior que contiene la Moda=41.5
Fabsmo=Frecuencia Absoluta de la Clase Modal=26
Fabsmo - 1=Frecuencia Absoluta anterior a la de la Clase modal=8
Fabsmo + 1=Frecuencia Absoluta posterior a la de la Clase Modal=21
AC=Ancho de Clase=8
N=94
la formula que calcula el valor de la Moda es
Como en el caso de la Mediana, se debe comprobar que el valor de la Moda esta comprendido dentro del intervalo de la clase 4, en la cual se predijo su ubicación El intervalo correspondiente a esta clase es 41.5 a 49.5. Notese que el valor 47.76 si es parte de este intervalo, lo cual da certidumbre de la precisión del calculo.
CALCULAMOS EL CUARTIL 2(Q2).
Recuerde que, los Cuartiles, al igual que la Mediana y cualquier Cuantil, son Medidas de Posición, por lo tanto se debe calcular primero la Posición del Q2.
DATOS
N=94
se calcula la Posición del Q2
Esto indica que la Clase 5 es la referencia para tomar los datos que se sustituirán en la formula que permitirá calcular el Q2.
DATOS
LRIQ2=Limite Real Inferior de la Clase del Q2=49.5
FacumQ2 -1=Frecuencia Acumulada Anterior a la de la Clase del Q2.=37
FabsQ2=Frecuencia Absoluta donde esta el Q2.=21
AC=Ancho de Clase=8
N=94
La formula
Note que este ultimo valor es parte del intervalo de la Clase 5. Note también que el Valor del Cuartil dos es igual al Valor de la Mediana.
CALCULAMOS EL DECIL 5
Se calcula primero la posición de este cuantil.
Este valor cae en la Clase 5, en donde esta el 58 sobre la columna de la Frecuencia Acumulada. Al igual que en los casos anteriores, escogemos los datos tomando de referencia a esta Clase.
DATOS
LRID5=Limite Real Inferior de la Clase del D5=49.5
FacumD5 -1=Frecuencia Acumulada Anterior a la de la Clase del D5.=37
FabsD5=Frecuencia Absoluta donde esta el D5.=21
AC=Ancho de Clase=8
N=94
la formula del Decil 5 es
Se observa que este valor es parte del intervalo de la Clase 5.
Note también que el D5 es igual a la Mediana e igual al Cuartil 2. Esto es porque todos ellos indican la misma posición en en cualquier base de datos. Las medidas de posición anteriores también son iguales a el Porcentil 50, ya que indica exactamente la misma posición que aquellas.
Esto significa que podemos predecir, sin necesidad de realizar ningún calculo, que el valor del P50=53.31.
a)CALCULE LA MEDIA, MEDIANA, LA MODA, EL Q1, Q2, D2, P25, P50,Y P75. PARA ESTA TDF
b) CALCULE LA MEDIA MEDIANA, LA MODA, EL CUARTIL 3, EL D7, EL PORCENTIL 2 Y EL PORCENTIL 36 PARA ESTA TDF
Note también que el D5 es igual a la Mediana e igual al Cuartil 2. Esto es porque todos ellos indican la misma posición en en cualquier base de datos. Las medidas de posición anteriores también son iguales a el Porcentil 50, ya que indica exactamente la misma posición que aquellas.
Esto significa que podemos predecir, sin necesidad de realizar ningún calculo, que el valor del P50=53.31.
EJERCICIOS PROPUESTOS
b) CALCULE LA MEDIA MEDIANA, LA MODA, EL CUARTIL 3, EL D7, EL PORCENTIL 2 Y EL PORCENTIL 36 PARA ESTA TDF


































